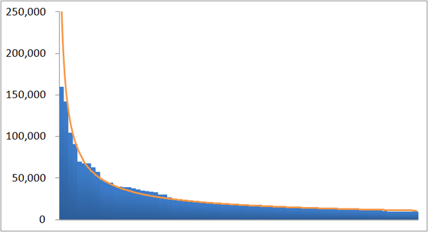
![]() AKB総選挙の結果発表の日が近づいてきました。ファンのみなさんは、推しているメンバーが何位になるか気が気でないと思います。 ■20対80の法則に当てはまるかデータを確認 選挙への投票権は、大別してファンクラブの会員になるかCDを購入することで得ることができます。CDは一人何枚でも購入可能ですから、熱心なファンの中には何枚もCDを購入して投票する人もいるでしょう。つまり上位に名を連ねるには、ファン数が多いのはもちろんですが、熱心なファンが多ければ多いほどいいということになります。言い換えると、一部の人気メンバーに票が集中しやすいということになります。 このような状況ではビジネスでよく聞く20対80の法則が当てはまりやすくなります。20対80の法則とは、「売上げの80%は、上位20%の顧客が生み出している。」「上位20%の人材が、80%の成果を生み出している」というように、さまざまな事象において、一部の小数が大部分の要素を生み出していることを経験則的に示すものです。 では実際に当てはまるかどうか、2011年から2014年のAKB総選挙の結果から確認してみましょう。 ![]() (Wikipediaデータより集計) 徐々に減少する傾向がみてとれますが、上位20%のメンバーが総投票数の75%~88%の票を獲得していることから、AKB総選挙では20対80の法則が当てはまっていると言えるでしょう。 ■20対80の「20」は優秀と言い切れるか? さて20対80の法則に当てはまる事象があった場合、私たちは上位20%が優秀だと思いがちですが、果たして本当にそうでしょうか?2014年のAKB総選挙では296人のメンバーが立候補しています。その中の上位20%は、60位までのメンバーになるのですが、60位のメンバーの得票数は12,937票でした。61位のメンバーの得票数は12,913票であり、その差は24票しかありません。一方、1位の渡辺麻友さんの得票数は159,854票で、10倍以上の開きがありました。上位20%といっても20%の下位とトップとの差は非常に大きいことが分かります。 このようなデータの分布をべき分布といいます。2014年のAKB総選挙のデータをグラフにして確認してみましょう。 ![]() 全ての順位が公開されていないため、上位80人までのデータですが、トップグループの得票数が飛びぬけて多く、順位が下がる従って得票数の差が小さくなることが一目で分かります。つまり20対80の法則は、数字としてキリのいい区切りであり、上位20%と下位の80%に明確な優劣があるとはいえないのです。 ■上位20%で満足せずトップ3を目指すべき スポーツの世界では、参加人数が多くても少なくても表彰されるのは上位3名までです。今回のAKB48総選挙では、上位16名が次回発売のシングル選抜メンバーになるということなので、上位5%に入れば良いとも言えますが、16名の内ポジション的に目立つセンターに立つことができるのは、やはり上位3名でしょう。 企業においても同様です。営業成績や工場の改善活動を表彰する場合は、特別賞などもありますが、概ね上位3位までが表彰の対象です。企業の主力商品や事業を上げる場合も多くて3つでしょう。要するに外部から注目されたり、評価されたりするためには上位3位には入っておく必要があるということです。 企業内において、順位がつけられるような状況にある時は、上位20%で満足せず、トップ3に入ることを常に意識したほうが良いでしょう。 《参考記事》 ■新入社員のうちに覚えておきたい!仮説思考の重要性と重病性(村山聡 中小企業診断士) http://sharescafe.net/44386900-20150421.html ■企業任せでは済まされない?女性活用が進まない理由をデータで考える(村山聡 中小企業診断士) http://sharescafe.net/43516534-20150224.html ■あなたの会社にもいるかもしれない?ビジネスメソッドマニアに気をつけろ!(村山聡 中小企業診断士) http://sharescafe.net/40838018-20140914.html ■平均値をウソつき呼ばわりするのは、もうそろそろ終わりにしよう。 村山聡 http://sharescafe.net/39363307-20140614.html ■「飲み会は残業代出ますか?」と聞く前に新入社員が心得ておくべきこと 村山聡 http://sharescafe.net/38576145-20140430.html シェアーズカフェ・オンラインからのお知らせ ■シェアーズカフェ・オンラインは2014年から国内最大のポータルサイト・Yahoo!ニュースに掲載記事を配信しています ■シェアーズカフェ・オンラインは士業・専門家の書き手を募集しています。 ■シェアーズカフェ・オンラインは士業・専門家向けに執筆指導を行っています。 ■シェアーズカフェ・オンラインを運営するシェアーズカフェは住宅・保険・投資・家計管理・年金など、個人向けの相談・レッスンを提供しています。編集長で「保険を売らないFP」の中嶋が対応します。 |



